PROPAGACIÓN TROPOSFÉRICA, COMÚMENTE LLAMADA "TROPO"
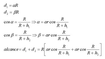
Es uno de los modos de propagación más comúnmente utilizados en VHF. Sin este modo de propagación, nuestra señal tendría un alcance meramente visual, es decir, si condideramos la curvatura terrestre en ausencia de obstáculos, nuestro alcance se vería condicionado por la altura de nuestra antena y la de nuestro corresponsal. Mediante un sencillo cálculo trigonométrico se podría calcular la distancia máxima entre dos QTH´s situados a altura h1 y h2 respectivamente.

Se observa la situación típica de máxima distancia alcanzable entre dos estaciones. R es el radio de la Tierra, 6371 km. Como se observa, al aumentar h1 o h2, el arcoseno crece y por tanto aumenta d1 + d2. Supongamos que la altura de ambas antenas es h1=h2=100m, la distancia máxima alcanzable sería de 71km. Sin embargo, algo más debe ocurrir para que sean frecuentes alcances de más de 500 km con la instalación adecuada.
Refracción troposférica reforzada:
Se produce cuando nuestra señal, en lugar de seguir una trayectoria rectilínea, se curva hacia la tierra por efecto de la refracción. La variación del índice de refracción es la que produce dicha curvatura al igual que un rayo de luz cambia su dirección al pasar del aire al agua o viceversa. En condiciones normales, el índice de refracción de la troposfera disminuye a medida que aumenta la altura. En realidad, la atmósfera puede presentar variaciones del índice de refracción con respecto a la altura (img /dh) desde:
- dn/dh = 0 no hay refracción.
- -79 unidades/km < dn/dh < 0 refracción normal.
- dn/dh < -79 unidades/km super-refracción.
- dn/dh > 0 sub-refracción.
Con atmósfera normal, es posible superar en
un tercio nuestro máximo alcance por señal directa.
Conductos troposféricos
Son los responsables de los verdaderos DX. Ocasionalmente, el índice de refracción no varía de forma gradual con la altura, sino que existen ciertas discontinuidades. Se forma una capa en la que la disminución del índice de refracción es mucho mas rápida. En una atmósfera normal, la temperatura y por tanto el índice de refracción disminuyen progresivamente con la altura. En muchas ocasiones, sucede que la temperatura aumenta en lugar de disminuir, formándose lo que se llama un "inversión térmica".

El índice de refracción disminuye bruscamente y las ondas de radio son curvadas hacia la tierra. Las inversiones cerca de la superficie se producen cuando la tierra se enfría rápidamente bajo un cielo sin nubes. El aire en contacto con la tierra se enfría, provocando normalmente niebla. El conducto creado en la superficie no propagan muy bien las ondas de radio debido a que la tierra es un mal reflector cubierta por objetos que absorben y dispersan la señal. Sin embargo, si el conducto se forma sobre la superficie del mar que es un buen reflector, la señal puede propagarse a distancias superiores a 2000km. Muchos QSOs entre Canarias y la isla de Sicilia lo prueban, así como entre Canarias y las Islas Británicas.
Otro tipo de conductos se forman a mayor altura, cuando hay una doble discontinuidad en el índice de refracción. La onda de radio queda "atrapada" entre esas dos discontinuidades, que típicamente se sitúan entre 450 y 2000m de altura. Dicho conducto actúa como un guiaondas del estilo a los utilizados en microondas, es decir, no propagará ondas cuya longitud de onda sea demasiado grande en relación a la altura del conducto. La anchura mínima del conducto en función de la frecuencia queda reflejada en la siguiente tabla:
| frecuencia( MHz ) | long. de onda(m) | espesor mínimo del conducto (m) |
| 50 | 6 | 400 |
| 70 | 4 | 300 |
| 144 | 2 | 200 |
| 432 | 0.7 | 100 |
| 1300 | 0.23 | 50 |
Dispersión troposférica.

Es un modo de propagación aprovechable casi exclusivamente por las estaciones de rebote lunar, debido a las grandes pérdidas que se producen en el trayecto. Por lo tanto lo explicaremos brevemente. Aprovecha las irregularidades de presión, temperatura y humedad existentes en la atmósfera. Ambas estaciones deben ser capaces de "iluminar" el mismo volumen de atmósfera. Puede ser útil para superar un obstáculo entre dos estaciones.
Equipo necesario para trabajar tropo
En general, una estación mínima para tropo consta de una yagi de 10 elementos en polarización horizontal y unos 50W. Principalmente es importante que esté bien despejada de objetos como árboles y conductores cercanos. Para alcanzar grandes distancias, es decisivo encontrar un lugar lo más alto y despejado posible, tal como la cima de una colina. A partir de ahí, podemos ir pensando en la incorporación de un previo de bajo ruido y aumentar la potencia. En el caso de enfasar antenas, es muy beneficioso apilarlas una encima de otra, para rebajar el ángulo de salida de nuestra señal al valor menor posible, sin reducir el ancho del lóbulo de radiación, lo que nos haría perder muchos QSOs sobre todo en concursos si el corresponsal nos llama desde una dirección diferente a la que apunta nuestra antena. El aumento de potencia hasta el límite autorizado y el uso de la telegrafía nos hará posible experimentar con la dispersión troposférica y alcanzar grandes distancias.
En resumen, se puede trabajar tropo casi con cualquier cosa, pero para obtener los mejores resultados hay que utilizar una buena antena y toda la potencia que nos permita nuestra licencia.
Bibliografía:
VHF/UHF DX BOOK RSGB.
ARRL HANDBOOK 1986.